文 / 六金
來源 / 節點財經
有人把2025年定義為AI覺醒的元年。
因為2025年還沒過完三個月,一直有流量DeepSeek,前一陣爆火的“炸子雞”智能體Manus,讓男女老少,對AI的觸覺不再是高高在上的科研成果,更是提升生產效率的關鍵。
百度也在昨天發布了文心大模型X1和文心大模型4.5,繼續給大模型行業“上強度”。
模型一發布,又像DeepSeek一樣震驚了海外的KOL們。
華爾街著名科技行業投資人Bill·Gurley比較毒舌,他說:美國人工智能公司應該將100%的時間用于開發和創新,而不是在華盛頓閑逛。

西班牙知名價值投資人哈維爾·伊格亞已經開始給百度重新估值了:

01 大模型的進化,一直在繼續
大家對文心大模型X1和文心大模型4.5強勢圍觀,原因無他,就是模型“好用”。
其中文心大模型X1,讓大模型“好用”上了新臺階。
文心大模型X1的官方介紹是:首個可以自主運用工具的深度思考模型,具備更強的理解、規劃、反思、進化能力。
怎么理解這個能力?《節點財經》先考它了一個小題,讓它說說名創優品的上市過程和分析:

它能輕松簡要地分析出名創優品發展中的重要節點,到這兒,文心大模型X1只是完成了我們給它的初階任務。
《節點財經》看到許多測評博主都用文心大模型X1去解數學題,我們準備增加點難度,讓它做幾道CPA財務管理這門課里的考題,財管的考試難度之大,大家懂得都懂。
在這道經典考題上,文心大模型X1的思考很適合沒有學過財務管理這門課的用戶,雖然教材的答案言簡意賅,但是文心一言給出了完整的思考過程。

另外,《節點財經》還考了它一道需要結合財務知識進行推理的財務管理題目:

文心大模型X1用了比標準答案更明晰的方法去推理,并且解出來了財務知識疊加運算的問題。
《節點財經》還看到,測評博主還給了X1立了不少人設,說它是軟裝設計師,上傳房子照片,就能重新設計軟裝效果;又是健身教練,上傳一張照片,就能分析健身姿勢是否正確;還是劇本殺外掛、數學專家、旅行規劃師、電影電視劇懂王、游戲專家等等,因為它的中文知識問答、文學創作、文稿寫作、日常對話、邏輯推理、復雜計算及工具調用等方面的表現更強。
但《節點財經》認為,X1更準確的人設應該是可以真正讓普通使用者對大模型的感知落地到——有什么不會就“X1一下”。
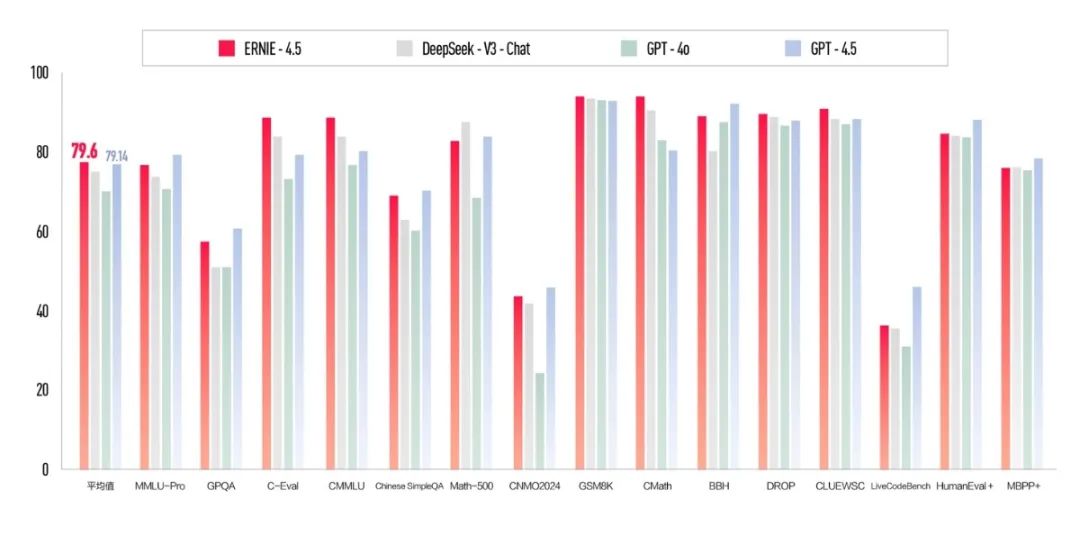
另外,百度還上新了文心大模型4.5,作為百度新一代基座大模型,文心大模型4.5的多項基準測試成績優于GPT4.5、DeepSeek-V3等,并在平均分上以79.6分高于GPT4.5的79.14。

特別是文心大模型4.5在多模態理解能力上顯著提升,不僅有圖形推理、圖表分析的“高智商”和“高情商”。
例如我讓它幫我解讀一幅梗圖,它解讀完還“高情商”地鼓勵我工作了也得繼續學習:

總而言之,文心大模型X1和4.5那是“各有千秋”,能在不同場景下提供強大的思考。
同時,文心大模型4.5系列,以及更前沿的文心5.0,也在緊鑼密鼓研發中。特別是此前百度曾宣布文心一言將于4月1日免費,本次發布不僅帶來兩款全新大模型,還將免費時間提前,全面提升了用戶體驗。
百度這一系列動作,正如李彥宏所說,“我們仍需對芯片、數據中心和云基礎設施進行持續投入,用于打造更好、更智能的下一代模型。”也說明百度一直在大模型上堅持投入,從來就沒下過牌桌。
02 除了文心大模型“亮劍”,海淀還有“六小強”
除了文心大模型X1和4.5的“亮劍”外,大模型的牌桌上,近來還有著不少令人心動的上新,可以見得大模型已經從之前的“百模大戰”,大步邁進產業深度應用的競技場。《節點財經》還發現了一個有趣的現象,即大模型的這些“豹變”,許多都發生在海淀區。
就在百度官宣的幾天前,豆包接入了抖音,用戶在觀看短視頻內容的同時,借助豆包的AI能力即時獲取視頻相關的詳盡解答,從而滿足他們的即時知識需求。
快手的視覺大模型可靈,和文心大模型一樣,發布的不到一年內多次迭代,在文娛領域的各種AI短片不斷上新,許多用戶每每看到一句都想問,這是人類做的嗎?
還有月之暗面在年初也發布Kimi k1.5多模態思考模型,再次深度升級了日常生活中需要的代碼編寫、解題能力。
不難看出,AI大模型的應用場景越來越廣,例如文心大模型X1和4.5的亮相,就已經達到了“模型即應用”;快手可靈也成為了部分知名導演的生產工具,現在教育、藝術、辦公、金融、醫療、制造等行業開始主動擁抱大模型應用,這也推動了大模型在底層的進化。
目前,大模型的技術棧大致可劃分為四個關鍵層級,自下而上依次為芯片層、框架層、模型層以及應用層,而百度也成為當下全球范圍內鮮少能在這四層都有所布局的公司之一;
還有寒武紀等企業,在芯片層也覆蓋了云端、邊緣端的智能芯片及其加速卡、訓練整機、處理器IP及軟件,可滿足云、邊、端不同規模的人工智能計算需求,幫助不少大模型企業減少了部署成本;
在框架層和模型層,智譜清研等大模型企業與智能汽車、制造、大消費、金融、政務服務、醫療健康、游戲娛樂、文化旅游等多個行業企業建立了合作關系……
這四個關鍵層級背后,是流量入口、數據資產、用戶場景與AI能力的多維融合。所以海淀,不僅有學校的“六小強”,大模型企業們也正在以“六小強”之勢,將技術更高效地注入業務的毛細血管,在千行百業中占得大模型的先發優勢。
03 大模型的“海淀樣板”
為什么大模型的進化過程中,海淀可以不費吹灰之力拿出“六小強”呢?
從產業來看,海淀區已經構建了一個基本自主可控的全產業鏈技術體系,涵蓋了芯片、框架、大模型、落地應用等多個方面。
例如“六小強”中,百度全棧布局、寒武紀布局芯片、智譜清研專注B端、快手可靈偏向文娛落地、豆包偏向C端與抖音結合、月之暗面偏向文本思考。每一個大模型產業鏈的關鍵節點,海淀都“有且強”,這也形成了相關產業帶的“吸引磁場”。
從支持來看,海淀不喊口號,確實在真金白銀地支持,其中既有耐心資本,又有大膽資本。
早在2023年,北京市率先打響地方大模型政策第一槍。海淀區則首先出手打樣,提出要打造2300億元核心產業規模,從人才落戶、資金補貼,公租房等多方面給予人才補貼。
后來,中關村科學城科技成長基金連續發布,第三期規模達100億元,科技成長基金總規模增至200億元,而且,中關村科學城科技成長三期基金還表示“堅持投早、投小、投長期、投硬科技。”
特別是諸多城市追逐大模型項目時,海淀早就關注到應用層面的結合,并計劃每年安排最高1億元資金支持大模型行業實驗室建設和核心業務場景開放,以引領產業創新和賦能實體經濟。
可見,高達數百億的“耐心資本”給了AI企業更多時間和發展空間,而投早、投小的“大膽資本”改善了對AI相關企業的投資的風險承受偏好。
特別是這六小強,其實都是“耐心又大膽”的代表。
例如百度十年來對AI的耐心,砸下了1700億巨資研發,造就了現在文心大模型不斷降低成本、文心一言完全免費、大模型調用價格持續降低;智譜清研、月之暗面從清華走出來,讓大模型的相關應用從實驗室走向大眾;快手可靈則脫胎于長年累月的內容業務,率先在視覺大模型上落地,被業內評為“超越sora”……
做一個形象地類比,在海淀,大模型“六小強”的氛圍很像學校的“六小強”,小強們都拿出自己的優勢,推動著教育資源的普惠。大模型六小強,也在推動著“AI普惠”,它們研發的產品和服務,不僅是手機上的一個app、工作生活時的一個AI全能助理,它們也構成了大模型發展的“海淀樣板”。
寫在最后
不久前,李彥宏提出過一個大模型“兩步走”的論點:首先將通過技術創新,不斷降低大模型和人工智能的成本;其次將大力推動人工智能的規模化應用。
這兩步看似循序漸進,實則暗含著大模型攀登者,既要保持仰望星空的勇氣,突破技術無人區的桎梏;又要具備腳踏實地的耐心,在產業數字化的廣袤原野上,培育出智能經濟的新生態。
站在人工智能第三次浪潮之巔,我們深知前方不會是坦途。當技術創新與應用實踐的飛輪持續轉動,當智能之光逐漸照亮實體經濟的每個角落時,一個由人工智能深度參與的新時代,正緩緩揭開序幕。
(“寫在最后”部分,由《節點財經》和文心大模型X1共同創作,這是文章的彩蛋,也是文心大模型提升生產效率的縮影)
榜單收錄、高管收錄、融資收錄、活動收錄可發送郵件至news#citmt.cn(把#換成@)。
海報生成中...